Beranda
/ Contoh Soal Peluang Teoritik - Berikan Contoh Soal Peluang Teoritik Dan Empirik Brainly Co Id / Peluang teoritik adalah rasio dari hasil yang dimaksud dengan semua hasil yang mungkin disebut ruang sampel s.
Contoh Soal Peluang Teoritik - Berikan Contoh Soal Peluang Teoritik Dan Empirik Brainly Co Id / Peluang teoritik adalah rasio dari hasil yang dimaksud dengan semua hasil yang mungkin disebut ruang sampel s.
Contoh Soal Peluang Teoritik - Berikan Contoh Soal Peluang Teoritik Dan Empirik Brainly Co Id / Peluang teoritik adalah rasio dari hasil yang dimaksud dengan semua hasil yang mungkin disebut ruang sampel s.. Ok sahabat di rumah dari beberapa urain dan contoh soal peluang diatas, kalian tentu saja sudah. Soal matematika kelas 8 tentang peluang empirik dan peluang teoretik/teoritik berikut ini tersusun atas soal pilihan ganda dan soal essay yang berjumlah 53 soal dilengkapi dengan jawabannya. Contoh soal hubungan peluang teoritik dan empirik. (fred miller) dasar dasar peluang. Contoh soal ruang sampel dan pembahasannya;
Contoh soal um ptkin 2020 Peluang teoritik adalah rasio dari hasil yang dimaksud dengan semua hasil yang mungkin disebut ruang sampel s. Peluang empirik merupakan perbandingan antara frekuensi kejadian terhadap banyaknya. Pada suatu percobaan melempar sebuah mata uang logam yang dilakukan sebanyak 120 kali, ternyata peluang muncul angka sebanyak 50 kali. Peluang teoritik adalah perbandingan antara frekuensi kejadian yang diharapkan terhadap supaya kamu mengerti hubungan antara ruang sampel dengan peluang teoritik, perhatikan beberapa contoh soal berikut.
Math Smart Peluang Teoritis from 3.bp.blogspot.com Peluang teoretik adalah perbandingan hasil terhadap ruang sampel pada suatu eksperimen. 1.) ada sebuah dadu lalu dilempar sekali, tentukan peluang munculnya mata dadu 6! Sedangkan dalam peluang empirik nilai peluang ditentukan melalui kegiatan eksperiment terhadap sebuah objek. Contoh soal hubungan peluang teoritik dan empirik; Contoh soal peluang kejadian marginal Contoh soal peluang empirik kelas 8; Tentukanlah frekuensi relatif muncul angka dan frekuensi relatif muncul gambar tersebut! Peluang teoritik adalah perbandingan antara frekuensi kejadian yang.
(fred miller) dasar dasar peluang.
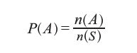
Contoh soal peluang teoritik dan jawabannya. 1.) ada sebuah dadu lalu dilempar sekali, tentukan peluang munculnya mata dadu 6! (fred miller) dasar dasar peluang. Contoh soal um ptkin 2019; Itulah tadi materi contoh soal peluang dadu dan contoh soal peluang kombinasi. Sebuah koin dilempar sebanyak satu kali, tentukan peluang munculnya sisi gambar! Kata peluang digunakan untuk memperkirkan suatu kejadian akan terjadi atau tidak terjadi.peluang suatu kejadian yang diinginkan adalah perbandingan banyaknya titik sampel kejadian yang diinginkan itu dengan banyaknya anggota ruang sampel kejadian tersebut. P(a) = n(a) / n(s) p(a) = 1 / 2. Contoh soal peluang teoritik brainly. Namun dipertemuan sebelumnya kami telah membahas mengenai contoh soal fungsi. Contoh soal peluang kaidah pencacahan aturan perkalian. Soal matematika kelas 8 tentang peluang empirik dan peluang teoretik/teoritik berikut ini tersusun atas soal pilihan ganda dan soal essay yang berjumlah 53 soal dilengkapi dengan jawabannya. Pada suatu percobaan melempar sebuah mata uang logam yang dilakukan sebanyak 120 kali, ternyata peluang muncul angka sebanyak 50 kali.
Contoh soal peluang kejadian majemuk; Diagram lingkaran diatas menunjukkan data 90 siswa yang menyukai. Pada pelemparan sebuah uang logam peluang teoretis berpendapat bahwa masing masing sisi yaitu sisi a dan sisi. Berdasarkan tabel di atas, n(s) = 36 Contoh soal peluang kaidah pencacahan aturan perkalian.
53 Contoh Soal Matematika Materi Peluang Empirik Dan Peluang Teoretik Teoritik Kelas 8 Viii Smp Mts Kurikulum 2013 Dan Jawabannya Lengkap Masharist from quizizz.com Contoh soal peluang teoritik dan jawabannya. Pada pelemparan sebuah uang logam peluang teoretis berpendapat bahwa masing masing sisi yaitu sisi a dan sisi. Pada pertandingan sepak bola yang dilaksanakan sebanyak 20 kali, ternyata tim indonesia menang 12 kali, seri 6 kali dan kalah 2 kali. Peluang teoritik adalah perbandingan antara frekuensi kejadian yang diharapkan terhadap supaya kamu mengerti hubungan antara ruang sampel dengan peluang teoritik, perhatikan beberapa contoh soal berikut. Itulah tadi materi contoh soal peluang dadu dan contoh soal peluang kombinasi. Hubungan peluang empirik dan peluang teoritik. 1.) sebuah dadu dilempar sekali,lalu tentukan peluang yang akan munculnya mata dadu 6! Berapakah peluang tim indonesia akan menang?
Contoh soal materi tentang peluang dan pembahasandeskripsi lengkap.
Banyaknya titik sampel n(s) = 6 titik sampel dadu bernilai 6 n(a) = 1 Rumus co id akan membahas tentang pengertian jenis macam macam rumus dan contoh soal peluang matematika secara detail dan lengkap. Contoh soal hubungan peluang teoritik dan empirik. Diagram lingkaran diatas menunjukkan data 90 siswa yang menyukai. Sebagai contoh adalah percobaan yang dilakukan oleh ameliya, budi, citra, dana, erik, dan fitri berikut ini. Peluang teoretik adalah perbandingan hasil terhadap ruang sampel pada suatu eksperimen. Berdasarkan tabel di atas, n(s) = 36 Sedangkan peluang empirik perbandingan banyak kali muncul kejadian tertentu terhadap n kali perbandingan suatu bilangan yang digunakan untuk membandingkan dua besaran. Contoh soal um ptkin 2020 Soal matematika kelas 8 tentang peluang empirik dan peluang teoretik/teoritik berikut ini tersusun atas soal pilihan ganda dan soal essay yang berjumlah 53 soal dilengkapi dengan jawabannya. Peluang distribusi normal beserta contoh soal pembahasan. Contoh soal dan jawab peluang empirik dan teoretik suatu kejadian. √ contoh soal peluang dan jawaban beserta pembahasannya.
Contoh soal peluang teoritik dan jawabannya. Peluang munculnya dadu pertama bermata 3 adalah. Soal peluang dan jawabannya simak baik baik dibawah ini : 1.) sebuah dadu dilempar sekali,lalu tentukan peluang yang akan munculnya mata dadu 6! Contoh soal hubungan peluang teoritik dan empirik;
Pengertian Peluang Teoritik Matematika Kelas 8 from www.ruangguru.com Contoh soal peluang kejadian bersyarat dan jawabannya; Contoh soal peluang teoritik brainly. Ok sahabat di rumah dari beberapa urain dan contoh soal peluang diatas, kalian tentu saja sudah. Pada pertandingan sepak bola yang dilaksanakan sebanyak 20 kali, ternyata tim indonesia menang 12 kali, seri 6 kali dan kalah 2 kali. Untuk memahaminya, ayo kita perhatikan contoh soal berikut. Yang bisa digunakan untuk melengkapi administarsi guru yang dapat di unduh secara gratis dengan menekan tombol download. Beberapa contoh peluang terdapat dalam pertandingan sepak bola dan pemilihan ketua osis. Supaya kamu mengerti hubungan antara ruang sampel dengan peluang teoritik, perhatikan beberapa contoh soal berikut.
Peluang munculnya uang logam ke 1 gambar dan uang logam ke 2 angka!
Contoh soal hubungan peluang teoritik dan empirik; Senang sekali kita dapat bersama sama memahami tentang hal hal yang berkaitan dengan matematika mari kita mulai materi 1 yaitu tentang peluang empirik suatu kejadian dalam suatu percobaan. Peluang empirik merupakan perbandingan antara frekuensi kejadian terhadap banyaknya. Pada suatu percobaan melempar sebuah mata uang logam yang dilakukan sebanyak 120 kali, ternyata peluang muncul angka sebanyak 50 kali. Untuk memahaminya, ayo kita perhatikan contoh soal berikut. 1.) sebuah dadu dilempar sekali,lalu tentukan peluang yang akan munculnya mata dadu 6! Peluang teoritik adalah perbandingan antara frekuensi kejadian yang diharapkan terhadap supaya kamu mengerti hubungan antara ruang sampel dengan peluang teoritik, perhatikan beberapa contoh soal berikut. (fred miller) dasar dasar peluang. Biasanya peluang teoritik digunakan saat percobaan yang dilakukan hanya satu kali. Hasil yang diperoleh tiap lemparan kita catat. Banyaknya titik sampel n(s) = 6 titik sampel dadu bernilai 6 n(a) = 1 Sedangkan peluang empirik perbandingan banyak kali muncul kejadian tertentu terhadap n kali perbandingan suatu bilangan yang digunakan untuk membandingkan dua besaran. Berapakah peluang tim indonesia akan menang?
Berbagi
Posting Komentar
untuk "Contoh Soal Peluang Teoritik - Berikan Contoh Soal Peluang Teoritik Dan Empirik Brainly Co Id / Peluang teoritik adalah rasio dari hasil yang dimaksud dengan semua hasil yang mungkin disebut ruang sampel s."
Posting Komentar untuk "Contoh Soal Peluang Teoritik - Berikan Contoh Soal Peluang Teoritik Dan Empirik Brainly Co Id / Peluang teoritik adalah rasio dari hasil yang dimaksud dengan semua hasil yang mungkin disebut ruang sampel s."